



---> TRUTH <---
Justice
and the American Way
The ---> TRUTH <--- will set you free.
... when first we ---> PRACTICE TO DECEIVE <--- .

"Trouble In River City"
---> https://youtu.be/2Hk1KSxzfcg?si=7G9ArGCEaIVs0W0c <---
The Music Man (1962)
Warner Bros. Pictures

Secretary Giannoulias:
Ya got trouble … that's right, ya got trouble ... right here in River City!
TOPIC 1:
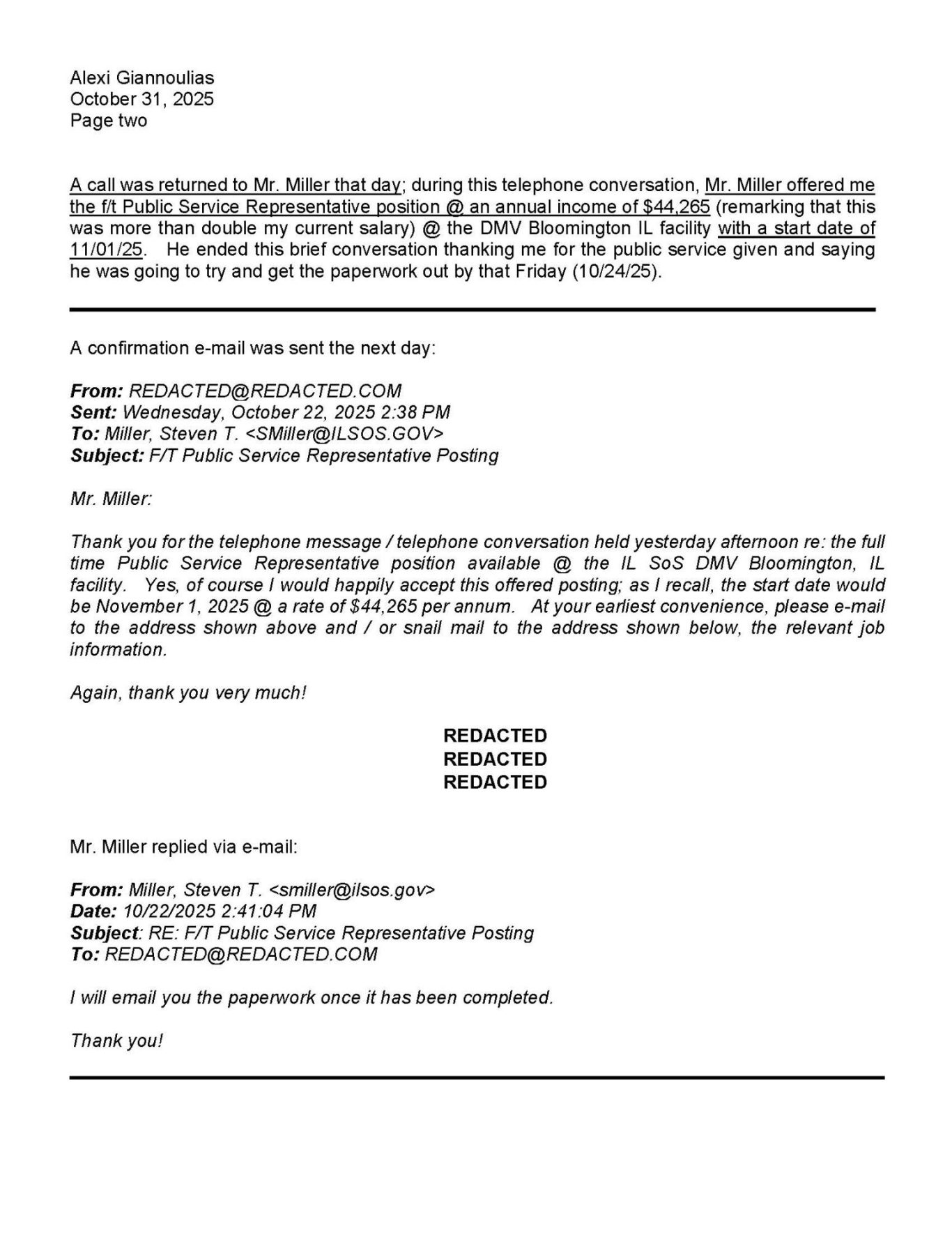
As you have been advised in my letter / e-mail of October 31, 2025, my e-mail of December 2, 2025, my e-mail of January 3, 2026 and my e-mail of February 3, 2026 (copies are provided in the https://secretary-alexi-giannoulias-unhappy-camper-website.com), my employment was terminated, via a letter hand-delivered to me by Jeremy McAlpin, Regional Director / Department of Motor Vehicles (“DMV”), Office of the Illinois Secretary of State, the morning of October 21, 2025 @ the Bloomington, IL DMV facility. (As you recall, I was offered a full time Public Service Representative position [via Steven T. Miller, Personnel Associate] later that same afternoon.) The 1st paragraph of this letter reads: “This letter is to advise you that you are being discharged as a probationary employee with the Office of the Secretary of State. Your probationary discharge is effective at the close of business on October 21, 2025. (Is it just a coincidence that October 21, 2025 is a mere ten [10] days from the end of my six [6] month probation period [as you know or may not be aware, post probation affords me Loudermill rights and protection]?)(1) This action is In accordance with Department of Personnel Rule 420.430(j).(2) The reason for the discharge is as follows:
STATEMENT OF POLICIES
Charge #1: Failure to treat all members of the public and other employees promptly, fairly, impartially, and with equal dignity; in violation of the Office of the Secretary of State Policy Manual, Chapter 1, Number 1, Article 1: Courtesy, paragraph 1.1.l(a).
Charge #2: Engaging in any conduct unbecoming and / or activities on or off duty which might result in or create the appearance of affecting adversely the confidence of the public and the integrity of the office; in violation of the Office of Secretary of State Policy Manual, Chapter 1, Number 1, Article 3: Professionalism, paragraph l.1.3(b)(3).
Charge #3: Disrespect to or maltreatment of any person; in violation of the Office of Secretary of State Policy Manual, Chapter 1, Number 1, Article 5: Standards, paragraph 1.l.5(e)(l).
Charge #4: Harassing behavior such as Constant or consistent teasing or ridicule because of an individual's protected class that leads to workplace interference. Comments that a reasonable person would characterize as "crossing the line" that is beyond casual rudeness (hostile work environment); in violation of the Office of Secretary of State Policy Manual, Chapter 2, Number 22, Workplace Harassment and Discrimination, paragraph 2.22.2(15).”
TOPIC #1:
Is it standard practice to accept whatever is written in Roth's letters as gospel? --->This practice certainly denies me the requisite due process.<--- Additionally and as written above, is it just a coincidence that October 21, 2025 (date of my termination) is a mere ten (10) days from the end of my six (6) month probation period (as you may or may not be aware, post probation affords me Loudermill rights and protection).(1)
TOPIC #2:
Illinois Administrative Code Title 80 § 420.430(j) (Discipline, Discharge and Termination / Discharge or Suspension of Probationary Employee) reads:
“Discharge or suspension of a probationary employee may be initiated by filing written charges with the Director of Personnel in the form and manner prescribed by the Director of Personnel. Written charges shall contain a clear and concise statement of facts(2A) showing good cause for suspension or discharge and other supporting documentation(2B) if applicable. No suspension or discharge of a probationary employee shall be effective without the approval of the written charges by the Director of Personnel or designee.(2C)
2A) “Written charges shall contain a clear and concise statement of facts showing good cause for suspension or discharge … ”
● My response (a copy of the October 31, 2025 letter provided in the https://secretary-alexi-giannoulias-unhappy-camper-website.com link) to these “facts”; specifically, that I never was – not once – criticized, counseled and / or admonished … ” of the four (4) reasons for discharge as written above thoroughly debunked these allegations;
2B) “ … and other supporting documentation if applicable.”
● “Other supporting documentation” were requested via my:
1) letter / e-mail of October 31, 2025,
2) my e-mail of December 2, 2025,
3) my e-mail of January 3, 2026 and
4) my e-mail of February 3, 2026.
These “supporting documentation, as of the date of this e-mail (March 7, 2026), have not yet been provided; therefore, one could only assume there were no “supporting documentation” contemporarily created (like not after the fact?) with my termination.
2C) “No … discharge of a probationary employee shall be effective without the approval of the written charges by the Director of Personnel … ” … does this not make the Director of Personnel the judge, jury and executioner?
TOPIC #3:
As the Secretary of State Department of Personnel records will reflect, my employment was terminated on October 21, 2025; a Claim was filed with the IL Department of Employment Security (“IDES”) on January 7, 2026. The IDES “Determination” letter of January 29, 2026 reads: “The evidence shows the claimant was discharged from Secretary of State because the claimant was accused of violating the employer’s policy with comments made to customers. However, the claimant stated the comments were done jokingly and when asked to stop, he complied. Since the claimant’s action, which resulted in his discharge was not repeated by the individual following warnings or explicit instructions, the claimant is not ineligible for benefits from 01/04/2026 in regard to this issue.”
● The IDES – resident expert in determining IL unemployment benefits – found that I, in fact, was not discharged for misconduct.
● The four (4) allegations found in Roth’s October 21, 2025 letter – justifying my termination – asserted that my:
1) “Failure to treat all members of the public and other employees promptly, fairly, impartially, and with equal dignity … ”;
2) “Engaging in any conduct unbecoming and / or activities on or off duty which might result in or create the appearance of affecting adversely the confidence of the public and the integrity of the office … ”;
3) “Disrespect to or maltreatment of any person … ” and
4) “Harassing behavior such as Constant or consistent teasing or ridicule because of an
individual's protected class that leads to workplace interference … ”
were not mentioned – not mentioned at all in the IDES January 29, 2026 “Determination Letter” as reason(s) given by the DMV for my termination. Rather, this “Determination Letter reads: “The evidence show the claimant was discharged from Secretary of State because the claimant was accused of violating the employer’s policy with comments made to customers.” How can the allegations found Roth’s October 21, 2025 termination letter be totally different / disparate / dissimilar from the accusations written in the IDES January 29, 2026 “Determination Letter" (kinda sounds like a 4-alarm fire (Roth’s Termination Letter) vs. a campfire roasting weenies (IDES January 29, 2026 “Determination Letter”)? Purely conjecture on my part but I believe it stands to reason that the Associate who composed this October 21, 2025 termination letter (a boiler plate letter as suggested in my October 31, 2025 letter?) knew of the pain and penalties associated with employers (and those employer’s agents) “ … who lie, misrepresent facts, or provide false information to the IDES … ”:
Employers (including those employer’s agents) in Illinois who lie, misrepresent facts, or provide false information to the IDES face severe penalties, including potential felony charges, mandatory restitution, and hefty fines. Penalties include a 25-100% fraud penalty on improperly denied / received benefits, criminal prosecution, and up to180 days in prison.
Key Penalties for Employer (including those employer’s agents) Misrepresentation:
● Criminal Charges: Knowingly providing false or misleading information to IDES is a crime. It can be a Class 4 felony (if less than $300 is involved) or a Class 3 felony ($300 or more).
● Monetary Penalties: Employers may be assessed a penalty equal to 25% of the amount of benefits fraudulently obtained or denied. If it is a repeat offense, this can increase to 100% of the amount.
● Restitution: The employer may be ordered to repay all benefits wrongfully received or denied.
● Audits and Interest: If an employer is audited, they may face a fraud penalty up to 60% of the contributions owed.
● Legal Action: The U.S. Department of Justice may also prosecute in federal court.
Fortunately, there are also pains and penalties when an employer (including those employer’s agents) make misrepresentations in written form; specifically, LIBEL and DEFAMATION OF CHARACTER as written below:
If ethics and honesty standards of senior management of the Office of the Illinois Secretary of State
are the same as any other Office of the Illinois Secretary of State Associate, then ...
---> https://youtu.be/uoy1nEMe9SM?si=ai3uBb9jl_USoZnX <--- ?
TOPIC #4:
http://secretary-alexi-giannoulias-unhappy-camper-website.com along with its links:
https://stephan-roth.com and
https://jeremy-mcalpin.com and
https://steven-t-miller.com and
https://stevan-hapgood.com and
https://miral-vyas.com
have been forwarded to the “complaintsboard.com” website and the “google.com” website and the “ilsos.gov” website and the “pissedconsumer.com” website and the “reddit.com” website and the “trustpilot.com” website and the “yelp.com” website for their publishing, comments and reviews.
Additionally, https://secretary-alexi-giannoulias-unhappy-camper-website.com, along with its accompanying:
https://stephan-roth.com website and the
https://jeremy-mcalpin.com website and the
https://steven-t-miller.com website and the
https://stevan-hapgood.com website and the
https://miral-vyas.com website
have been forwarded to the campaign headquarters of Diane Harris, Republican candidate “https://www.harrisforsos.com” - endorsed by the Chicago Tribune - for the office of Illinois
Secretary of State.
TOPIC #5:
The following websites have been updated:
https://secretary-alexi-giannoulias-unhappy-camper-website.com and
https://stephan-roth.com and
https://jeremy-mcalpin.com and
https://steven-t-miller.com and
https://stevan-hapgood.com and
https://miral-vyas.com.
The next update (the last update [other than the annual income update]) will contain the 2025 income for:
Stevan Roth aka https://stephan-roth.com website and
Jeremy McAlpin aka https://jeremy-mcalpin.com website and
Steven T. Miller aka https://steven-t-miller.com and
Stevan Hapgood aka https://stevan-hapgood.com and
Miral Vyas aka https://miral-vyas.com
obtained from the “https://opengovpay.com”, once published, website.
Additionally, this next update will include unredacted copies of previously redacted copies of previously posted information on:
Stevan Roth aka https://stephan-roth.com and
Jeremy McAlpin aka https://jeremy-mcalpin.com and
Steven T. Miller aka https://steven-t-miller.com and
Stevan Hapgood aka https://stevan-hapgood.com and
Miral Vyas aka https://miral-vyas.com
with all this re-posted information found in public information websites.
Thank you.
REDACTED
REDACTED
REDACTED
From: redacted@redacted.com
Date: 03/07/26
Subject: “Trouble In River City"
To: agiannoulias@ilsos.gov
Cc: oeig@ilsos.com, ig@ilsos.com, media@ilsos.gov, sroth@ilsos.gov, redacted@redacted.com, redacted@redacted.com, http://smiller@ilsos.gov, jmcalpin@ilsos.gov, shapgood@ilsos.gov, mvyas@ilsos.gov
THIS
https://secretary-alexi-giannoulias-unhappy-camper-website.com
IS DEDICATED TO:
* MIRAL VYAS *
PUBLIC SERVICE SUPERVISOR
ILLINOIS SECRETARY OF STATE / DEPARTMENT OF MOTOR VEHICLES
BLOOMINGTON, ILLINOIS FACILITY
mvyas@ilsos.gov / https://miral-vyas.com
WHOSE DEDICATION, HARD WORK AND PERSERVERANCE HAS MADE ME INTO THE PERSON I AM TODAY. HER GUIDANCE AND SUPPORT HAVE MADE ALL THE DIFFERENCE IN MY SPIRITUAL AND MORAL GROWTH; HER MENTORSHIP HAS BEEN INCREDIBLY HELPFUL IN DEVELOPING BOTH MY PERSONAL AND PROFESSIONAL SKILLS. THANK YOU, OBI-WAN VYAS, FOR JUST BEING YOU. ---> https://youtu.be/L_SZ2iBTESo?si=eaSY5z4pS2kpOFUe <---
LEST THE PRAISES COME FROM JUST ONE SOURCE, LET’S HEAR IT FOR THE BOY (AND THE GIRL TOO?): ---> https://youtu.be/gI7YHZVc7mM?si=fKXG4z_lijmncndj <---
“I’M THANKFUL FOR THE WORK ENVIRONMENT SHE HAS CULTIVATED. IT’S A PLEASURE TO COME TO WORK EACH DAY UNDER HER LEADERSHIP.”
“HER LEADERSHIP IS ONE OF A KIND. I’M GRATEFUL TO BE PART OF HER TEAM AND LEARN FROM HER EVERY DAY.”
“HER CRITICAL FEEDBACK HAS BEEN INVALUABLE TO MY DEVELOPMENT; IT’S HELPED ME GROW IN WAYS I DIDN’T EVEN REALIZE I NEEDED.”
“SHE ALWAYS MAKES TIME FOR MY QUESTIONS AND CONCERNS. HER OPEN-DOOR POLICY REALLY MAKES A DIFFERENCE.”
AND MAYBE, JUST MAYBE, THE MOST IMPORTANT COMMENT MADE:
“I’M THANKFUL FOR THE WAY SHE MANAGES CONFLICTS WITH SUCH DIPLOMACY, FINESSE AND DIGNITY. IT’S A SKILL I’M TRYING TO LEARN FROM HER.”.
*** FOR ADDITIONAL INFORMATION RE: MIRAL VYAS’ MANAGERIAL SKILLS
AND SUPERVISORY ABILITIES,
SCROLL DOWN TO THE 10/31/25 LETTER TO SECRETARY GIANNOULIAS, PAGES 12, 13 AND 14. ***
SPOILER ALERT:
SARCASM DOES NOT TRANSLATE WELL IN WRITTEN COMMUNICATION.


HONORARY MENTIONS:
* ALEXI GIANNOULIAS *
Secretary of State
Illinois Secretary of State
agiannoulias@ilsos.gov
Unfortunate collateral damage but, then again, if you’re going to
run with the dogs - ummmmm - the dogs’ BARK stop where?
(A lil play on the Harry S. Truman’s “The BUCK stops here.” mantra.)
--->https://youtu.be/ojULkWEUsPs?si=mG_hHPjzoVd-tlwd<---
* STEPHAN ROTH *
Director / Personnel
Office of the Illinois Secretary of State
sroth@ilsos.gov
https://stephan-roth.com
My October 31, 2025 letter to Alexi Giannoulias, Illinois Secretary of State ("IL SoS), cc'd to Stephan Roth, Director / Personnel, Office of the Secretary of State, as shown below, covered two (2) items: #1) the immediate retraction of my October 21, 2025 Termination Letter (this Termination Letter was authored and signed by Director Roth [or his designee]) and #2) the immediate payment of all employment monies owing … as of the date of publication of this website (on or about December 1, 2025), neither of these two (2) items have been provided.
Re: Item #1:
LIBEL is the publication of a false statement that harms a person's reputation, typically in a fixed form like writing, pictures, or broadcasts, and can lead to a civil lawsuit. It is a type of defamation and is distinct from slander, which involves spoken defamation (AI 2025).
DEFAMATION OF CHARACTER is the act of making a false statement about someone that harms their reputation. It can be either spoken (slander) or written (libel). To prove defamation, a plaintiff must establish the statement was false, "published" to a third party, made with a degree of fault, and caused actual damages to their reputation (AI 2025).
PERSONNEL (through the October 31, 2025 Alexi Giannoulias letter) was invited “ … to furnish to me whatever notes, reports, write ups, etc. that SoS Personnel has in its possession that contradicts my above 2nd Response (denying any and all allegations) with my signature, of course, appearing on these notes, reports, write ups, etc., acknowledging receipt of the same.”; no “ … notes, reports, write ups, etc. that SoS Personnel has in its position … ” has been provided me because they just simply just do not exist. As of this website's update, (on or about 01/01/26), the above requested " ... notes, reports, write ups, etc. that SoS Personnel has in its possession that contradicts my above 2nd Response (denying any and all allegations) with my signature, of course, appearing on these notes, reports, write ups, etc., acknowledging receipt of the same.” still have not been provided because ... all together now ... they just simply do not exist!
Re: item #2:
(820 ILCS 115/5)
Every employer shall pay the final compensation of separated employees in full, at the time of separation, if possible, but in no case later than the next regularly scheduled payday for such employee.
I was terminated on October 21, 2025:
the next regularly scheduled payday was November 10, 2025 – no final compensation was received;
the next regularly scheduled payday was November 26, 2025 – no final compensation was received and
the next regularly scheduled payday was December 11, 2025 – no final compensation was received
(my last check was short < hour's pay ... but what's money between friends?).
* SARCASM DOES NOT TRANSLATE WELL IN WRITTEN COMMUNICATION. *
* JEREMY MCALPIN *
Regional Manager
Illinois Secretary of State / Department of Motor Vehicles
jmcalpin@ilsos.gov
https://jeremy-mcalpin.com
What exactly does a Regional Manager do? What is his / her job description (other than dictating internal / external communication abilities [authoritative dictatorship?] and terminating - without cause - God fearing, innocent, rootin’ tootin’ gun ashootin’ [Warner Bros. / Looney Tunes' "Yosemite Sam" (1946 - 1964) cartoon], law abiding citizens)? Or is a Regional Manager position just another junior management position with no real job duties or responsibilities? Inquiring minds, not to mention taxpayers, want to know!
* STEVEN T. MILLER *
Personnel Associate
Office of the Illinois Secretary of State
smiller@ilsos.gov
https://steven-t-miller.com
The lil train thought he could … ‘til he found out he couldn’t?
* STEVAN HAPGOOD *
Facility Manager
Illinois Secretary of State / Department of Motor Vehicles
shapgood@ilsos.gov
https://stevan-hapgood.com
A passive, laid-back managerial style (like using the path of least resistance method?); for example, when questioned about issues in dispute, he might give an answer based solely on the last person he spoke with and he might give two (2) different answers when questioned, minutes, hours or days apart, on the very same issue
The opinions and viewpoints expressed on this https://secretary-alexi-giannoulias-unhappy-camper-website.com are solely those of the authors and do not necessarily reflect the opinions or viewpoints of any other person, place or thing. (But, then again, they might?) The opinions and viewpoints provided on this https://secretary-alexi-giannoulias-unhappy-camper-website.com are based on the authors’ experiences and are intended for general informational purposes only.
While the authors strive to provide current and relevant information on a continuing basis, this https://secretary-alexi-giannoulias-unhappy-camper-website.com cannot guarantee that all information is current and up-to-date. Any reliance placed on such information shown on this https://secretary-alexi-giannoulias-unhappy-camper-website.com is strictly at the readers’ own risk. The authors encourage readers to conduct their own research and make their own decisions based on their unique circumstances.
DISCLAIMER: The above-named websites, specifically the:
https://alexi-giannoulias-unhappy-camper-website.com and the
https://stephan-roth.com website and the
https://jeremy-mcalpin.com website and the
https://steven-t-miller.com website and the
https://stevan-hapgood.com website and the
https://miral-vyas.com website.
To assure full and complete transparency, all the information (other than the information / document-ation found in my October 31, 2025 letter) used to research and document the above-named websites were obtained from the following public records websites:

https://secretary-alexi-giannoulias-unhappy-camper-website.com
https://en.wikipedia.org/wiki/Broadway_Bank_(Illinois)
https://www.fdicoig.gov (Broadway Bank) website and

https://stephan-roth.com
https://www.peoplefinders.com (Stephan Roth #63863575) website and the
https://www.linkedin.com (Stephan Roth #896752263) website and the
https://opengovpay.com (Stephan Roth #181066203) website and the
https://illinoiscomptroller.gov (Stephan Roth) website and
https://jeremy-mcalpin.com
https:///www.peoplefinders.com (Jeremy McAlpin #63863671) website and the
https://www.facebook.com (Jeremy McAlpin) and the website and the
https://opengovpay.com (Jeremy McAlpin #181066785) website and the
https://illinoiscomptroller.gov (Jeremy McAlpin) website and


https://steven-t-miller.com website:
https://www.peoplefinders.com (Steven T. Miller #63864108) website and the
https://opengovpay.com (Steven Miller #181067937) website and the
https://illinoiscomptroller.gov (Steven Miller) and

https://stevan-hapgood.com
https://www.peoplefinders.com (Stevan Hapgood #63863868) website and the
https://www.linked.com (Steven Hapgood #99ab96277) website and the
https://opengovpay.com (Stevan Hapgood #168057676) website and the
https://illinoiscomptroller.gov (Stevan Hapgood) and

https://miral-vyas.com
https://www.peoplefinders.com (Miral Vyas #63863920) website and the
---> https://www.linkedin.com (Miral Vyas #79862325) <--- and the
https://opengovpay.com (Miral Vyas #181067946) and the
https://illinoiscomptroller.gov (Miral Vyas).






contain links to external websites that are provided for your information and convenience. These links do not constitute an endorsement or approval by the creators of the https://secretary-alexi-giannoulias-unhappy-camper-website.com of any products, services or opinions of the organization, corporation or individual. The creators of the https://secretary-alexi-giannoulias-unhappy-camper-website.com bears no responsibility for the accuracy, legality or content of these external sites or for that of subsequent links; the creators of the https://secretary-alexi-giannoulias-unhappy-camper-website.com do not control these sites and make no guarantees about the information found there. You are subject to the privacy, security and quality policies of these external sites when you leave the https://secretary-alexi-giannoulias-unhappy-camper-website.com. Your use of any of these external links is at your own risk.
* UNDER ADVICE OF COUNSEL *
Thank you for your support!
---> https://youtu.be/Gj6apT-1Yjc?si=I7GVK-4XhgIJ4CBE <---

From: redacted@redacted.com
Date: 2/3/2026
Subject: "Plan D"
To: IL SoS / Alexi Giannoulias <agiannoulias@ilsos.gov>
Cc: IL SoS / Stephen Roth <sroth@ilsos.gov>, redacted@redacted.com, redacted@redacted.com, IL SoS / Steve Miller <smiller@ilsos.gov>, jmcalpin@ilsos.gov, IL DMV / Stevan Hapgood <shapgood@ilsos.gov>, IL DMV / Myral Vyas <mvyas@ilsos.gov>
Secretary Giannoulias:
Much to my shock and dismay, I find that it has been 30+ days since the below copied January 3, 2026 e-mail was sent you, 60+ days since the below copied December 2, 2025 e-mail was sent you, and 90+ days since the below copied October 31, 2025 letter / e-mail was sent you, with neither of these January 3, 2026 or December 2, 2025 e-mails nor the October 31, 2025 letter / e-mail responded to, much less have the issues addressed in these January 3, 2026 or December 2, 2025 e-mails nor the October 31, 2025 letter / e-mail (as you recall, these requested resolutions include: #1) the immediate retraction of my October 21, 2025 Termination Letter, #2) the immediate payment of all employment monies due me, #3) the immediate reimbursement of all monies expended to research, document and create the relevant websites and #4) other good and valuable consideration). * This is now getting personal. *
For a politician seeking higher officer, this lack of response / this lack of resolution might certainly appear as a negative on the "T-Account" of job experience / work history, setting aside the Broadway Bank, Chicago, IL fiasco. (As you know, Broadway Bank was a Chicago, IL bank that existed from 1979 to 2010, and was owned by the Giannoulias family. It was founded in 1979 by Alexis Giannoulias, a Greek immigrant. His sons, Demetris Giannoulias and Alexi Giannoulias, were also heavily involved in the bank [https://en.wikipedia.org/wiki/Broadway_Bank_(Illinois)]. On April 23, 2010, the Illinois Department of Financial and Professional Regulation closed Broadway Bank, Chicago, Illinois and named the FDIC as Receiver; on May 14, 2010, the FDIC notified the Office of Inspector General that Broadway Bank’s total assets at closing were $1.1 billion and the estimated loss to the FDIC Deposit Insurance Fund was $390 million [https://www.fdicoig.gov/sites//files/reports/2022-08/11-004.pdf]).
Due to your non-response / non-resolution, methinks it’s time for ... "PLAN D".
"Plan D" includes re-posted information obtained from the various public records websites named below to the various websites named below:
https://steven-t-miller.com website:
https://www.peoplefinders.com (Steven T. Miller #63864108) website and the
https://opengovpay.com (Steven Miller #181067937) website and the
https://illinoiscomptroller.gov (Steven Miller) and

returned a page 1 - hit 1 using the Google / Safari search engine and







https://stephan-roth.com website:
https://www.peoplefinders.com (Stephan Roth #63863575) website and the
https://www.linkedin.com (Stephan Roth #896752263) website and the
https://opengovpay.com (Stephan Roth #181066203) website and the
https://illinoiscomptroller.gov (Stephan Roth) website and
https://miral-vyas.com website
https://www.peoplefinders.com (Miral Vyas #63863920) website and the
---> https://www.linkedin.com (Miral Vyas #79862325) <--- and the
https://opengovpay.com (Miral Vyas #181067946) and the
https://illinoiscomptroller.gov (Miral Vyas).
https://stevan-hapgood.com website
https://www.peoplefinders.com (Stevan Hapgood #63863868) website and the
https://www.linked.com (Steven Hapgood #99ab96277) website and the
https://opengovpay.com (Stevan Hapgood #168057676) website and the
https://illinoiscomptroller.gov (Stevan Hapgood) and
(This re-posted information includes updated annual income from the "https://illinoiscomptroller.-gov/financial-reports-data/data-sets-portals/salary-database"; updated annual income, including the accompanying commentary from the "https://opengov-pay.com/" website, will be included once published.)
Additionally and since 90+ days have elapsed with no response / no resolution, a Google / Safari search on:
Stephan Roth aka https://stephan-roth.com
https://jeremy-mcalpin.com website:
https:///www.peoplefinders.com (Jeremy McAlpin #63863671) website and the
https://www.facebook.com (Jeremy McAlpin) and the
https://opengovpay.com (Jeremy McAlpin #181066785) website and the
https://illinoiscomptroller.gov (Jeremy McAlpin) website and
returned a page 1 - hit 4 using the Google / Safari search engine.

---> https://youtu.be/SxyRzrTKBFE?si=esRn3r3jEKbxrFpi <--- .
returned a page 1 - hit 2 using the Google / Safari search engine and
returned a page 1 - hit 4 using the Google / Safari search engine and
returned a page 4 - hit 7 using the Google / Safari search engine and
REDACTED
redacted
redacted
Steven T. Miller aka https://steven-t-miller.com
Miral Vyas aka https://miral-vyas.com
Stevan Hapgood aka https://stevan-hapgood.com
Jeremy McAlpin aka https://jeremy-mcalpin.com











From: redacted@redacted.com
Date: 01/03/2026
Subject: “Plan C”
To: agiannoulias@ilsos.gov
Cc: sroth@ilsos.gov, redacted@redacted.com, redacted@redacted.com,
smiller@ilsos.gov, jmcalpin@ilsos.gov, shapgood@ilsos.gov, mvyas@ilsos.gov
Secretary Giannoulias:
It has been 30+ days since the below copied December 2, 2025 e-mail was sent you; it has been 60+ days since the below copied October 31, 2025 letter / e-mail was sent you ... with neither this December 2, 2025 e-mail nor the October 31, 2025 letter / e-mail meriting a response, much less resolution, to the items covered in this October 31, 2025 mail / e-mail ("Plan A") and / or this December 2, 2025 e-mail ("Plan B")? (As you recall, the items covered in the October 31, 2025 mail / e-mail and the December 2, 2025 e-mail was #1) the immediate retraction of my October 21, 2025 Termination Letter and #2) the immediate payment of all employment monies due me. As of the date of the e-mail [January 3, 2026], neither of these two [2] items have been provided.) So I'm athinkin' … it's time for "Plan C"?
"Plan C", including the items covered in "Plan A" and "Plan B", now also includes #3) the immediate reimbursement of all monies expended to research, document and create the:
https://secretary-alexi-giannoulias-unhappy-camper-website.com
https://stephan-roth.com website and the
https://jeremy-mcalpin.com website and the
https://steven-t-miller.com website and the
https://stevan-hapgood.com website and the
https://miral-vyas.com website and
"Plan C" includes, as an example, the redacted / re-posted information on Secretary of State Department of Motor Vehicles Public Service Supervisor Miral Vyas, obtained from the various public records websites as named above. "Plan D", should this go to "Plan D", will include the unredacted / re-posted information on:
Stephan Roth aka https://stephan-roth.com
and
Jeremy McAlpin aka https://jeremy-mcalpin.com
and
Steven T. Miller aka https://steven-t-miller.com
and
Stevan Hapgood aka https://stevan-hapgood.com
and
Miral Vyas aka https://miral-vyas.com
obtained from the various public records websites as named above.
Thank you.
#4) other good and valuable consideration.
REDACTED
redacted
redacted
From: redacted@redacted.com
Date: 12/2/2025 8:29:59 AM
Subject: "Plan B"
To: IL SoS / Alexi Giannoulias <agiannoulias@ilsos.gov>
Cc: IL SoS / Stephen Roth <sroth@ilsos.gov>, redacted@redacted.com, redacted@redacted.com, jmcalpin@ilsos.gov, IL DMV / Stevan Hapgood <shapgood@ilsos.gov>, IL DMV / Myral Vyas <mvyas@ilsos.gov>
Secretary Giannoulias:
It has been 30+ days since the below / attached October 31, 2025 letter was mailed / e-mailed you ... with no response! (I reckon that you - nor any of the 7 "cc's" - thought that this October 31, 2025 letter was worthy of a reply?) Anywhooo ... this October 31, 2025 letter (let's call this "Plan A") covered two (2) items: #1) the immediate retraction of my October 21, 2025 Termination Letter and #2) the immediate payment of all employment monies due me. As of the date of the e-mail (December 2, 2025), neither of these two (2) items have been provided ... so I'm again reckoning it's time for "Plan B":
Thank you.
REDACTED
redacted
redacted

















